Worked Example
Traffic
1,000 trucks per day (two-way, at the time of construction) with a 3% growth rate over a 25-year design life and with a 50% directional distribution and 100% design lane distribution:
A 34-kip single axle with 0.19 axles per 1,000 trucks then has:
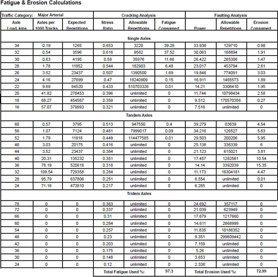
The Repetitions calculation above is then repeated for all axle frequencies in the table. The 1,265 expected repetitions for the 34-kip single axle load are confirmed in the Fatigue and Erosion Calculations tables in the StreetPave12 Example.
Cracking
The pavement will use 600 psi flexural strength concrete, which has an estimated concrete elastic modulus of 4,050,000 psi, a Poisson’s ratio of 0.15, a strength coefficient of variation of 15%, and no fibers. This 25-year design is at 85% reliability and with 15% slabs cracked at the end of the design life. The pavement will be built on a k-value of 100 psi/in. with edge support. In the StreetPave12 Example, it is shown that the required thickness is 8.21 in.
This value matches the stress ratio for the 34-kip single axle load in the cracking analysis portion of the Fatigue and Erosion Calculations table in the StreetPave12 Example.
This series of calculations is repeated for each axle type and load, and the fatigue damage from each axle load is summed to yield the total fatigue damage. In practice, StreetPave12 increases the slab thickness until the total fatigue damage is under 100%.
Faulting
Starting with our adjustment factors:
This result matches the power value for the 34-kip single axle load in the erosion analysis of the Fatigue and Erosion Calculations table in the StreetPave12 Example.
Again, the value is off 0.01% versus the example in the next section because of rounding. This series of calculations is repeated for each axle type and load, and the erosion damage from each axle load is summed to yield the total erosion damage. In practice, StreetPave12 increases the slab thickness until the total erosion damage is under 100%.
StreetPave12 Example
This uses StreetPave12 as downloaded from acpa.org/streetpave/ on 9/6/2025.
The following screenshots show the selections, inputs, and results for a design run in StreetPave12.





For undoweled joints:

Pavementdesigner.org Example
The same inputs from the StreetPave12 Example were used to yield a design thickness of 8.21 in., and with matching faulting and erosion tables, verifying the mathematical operator error discussed in the About section and the Worked Example above.



